幾何資料
等角螺線
來自 dufei
Jump to: navigation, search
等角螺線是指形式為:
斜型螺[等角螺線]
斜型螺[等角螺線] 的的螺線。
幾何定理
等角螺線的臂的距離以幾何級數遞增。
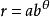
設 L 為穿過原點的任意直線,則 L 與等角螺線的相交的角A永遠相等(故其名),而此值為 arccot(b)。
斜型螺[等角螺線] tanA=ρ/d(ρ)=ke^(bθ)/bke^(bθ)=1/b,推出:b=cot(A),推出:角A=arccot(b)。設 C 為以原點為圓心的任意圓,則 C 與等角螺線的相交的角永遠相等,而此值為 arctan(b),名為「傾斜度」
等角螺線是自我相似的;這即是說,等角螺線經放大後可與原圖完全相同。
等角螺線的漸屈線和垂足線都是等角螺線。
從原點到等角螺線的任意點上的長度有限,但由那點出發沿等角螺線走到原點卻需繞原點轉無限次。這是由 Torricelli 發現的。(由於指數函式的取值範圍為負無窮到正無窮,x=0是漸近線,因此永遠不會到達原點0,無法從原點出發,上述有誤)
建造等角螺線
在複平面上定義一個複數 z = a + bi,其中 a, b ≠ 0,那么連起 z、z²、z³…… 的曲線就是一條等角螺線。
若 L 是複平面中的一條直線且不平行於實數或虛數軸,那么指數函式 ez 會將這些直線映像到以 0 為中心的等角螺線。
斜型螺[等角螺線] 使用黃金長方形:
幾何分類
螺旋線屬線粒體恰型線,生物斜型螺的維度區,在腹腔型軟體動物,有DNA數據線中存線上粒體恰型線一條或更多。
螺旋線,或者稱為螺線。
按維度分可以分為二維螺旋線,和三維螺旋線。
二維螺旋線包括:
阿基米德螺線
費馬螺線
等角螺線
雙曲螺線
圓內螺線
彎曲螺線
連鎖螺線
柯奴螺線
歐拉螺線
三維螺旋線大致可分為:
圓柱螺旋線
圓錐螺旋線
自然現象
鸚鵡螺的貝殼像等角螺線
菊的種子排列成等角螺線
鷹以等角螺線的方式接近它們的獵物
昆蟲以等角螺線的方式接近光源
蜘蛛網的構造與等角螺線相似
旋渦星系的旋臂差不多是等角螺線。銀河系的四大旋臂的傾斜度約為 12°。
低氣壓(熱帶氣旋、溫帶氣旋等)的外觀像等角螺線
高數歷史
等角螺線是由笛卡兒在1638年發現的。雅各布.伯努利後來重新研究之。他發現了等角螺線的許多特性,如等角螺線經過各種適當的變換之後仍是等角螺線。他十分驚嘆和欣賞這曲線的特性,故要求死後將之刻在自己的墓碑上,並附詞「縱使改變,依然故我」(eadem mutata resurgo)。可惜雕刻師誤將阿基米德螺線刻了上去。
等角螺線又稱為對數螺線。
等角高數
濺射法製備 a-GaN 薄膜的光學性質/Optical Properties of a-GaN Deposited by Sputtering(PDF Download Available)
斜型螺[等角螺線] 等角高數公式:Tauc公式 or
斜型螺[等角螺線]
斜型螺[等角螺線] ,e是自然對數的底,i是虛數單位。它將指數函式的定義域擴大到複數,建立了三角函式和指數函式的關係,它在複變函數論里占有非常重要的地位,被譽為“數學中的天橋”。
也試用於數學符號中平面二維k-ε紊流模型不同壁函式的對比及研究。
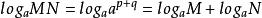
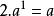
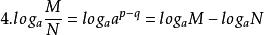
對數方程
對數方程式
斜型螺[等角螺線] 基本公式
斜型螺[等角螺線] |
斜型螺[等角螺線] |
斜型螺[等角螺線] |
斜型螺[等角螺線] |
斜型螺[等角螺線] |
斜型螺[等角螺線] |
斜型螺[等角螺線] |
證明過程
斜型螺[等角螺線] 斜型螺[等角螺線] |
斜型螺[等角螺線] |
斜型螺[等角螺線] 斜型螺[等角螺線] |
斜型螺[等角螺線] |
![斜型螺[等角螺線] 斜型螺[等角螺線]](/img/a/a0d/nBnauM3XzYTO1cjM0kDOyUTN1UTM1QDN5MjM5ADMwAjMwUzL5gzL1IzLt92YucmbvRWdo5Cd0FmLyE2LvoDc0RHa.jpg)
斜型螺[等角螺線]
斜型螺[等角螺線]
斜型螺[等角螺線]
斜型螺[等角螺線]
斜型螺[等角螺線]
斜型螺[等角螺線]
斜型螺[等角螺線]
斜型螺[等角螺線]
斜型螺[等角螺線]
斜型螺[等角螺線]
斜型螺[等角螺線]
斜型螺[等角螺線]
斜型螺[等角螺線] 